老涛资讯网

懂考博的小锦鲤的文章

读研究生期间如何跟导师相处

读研究生期间如何跟导师相处

教育 2026-05-21 16:54

毕业当大学老师有没有性价比

毕业当大学老师有没有性价比

教育 2026-05-21 16:05

2026年第二批博士招生院校汇总!

2026年第二批博士招生院校汇总!

教育 2026-05-21 16:03

🎓博士毕业真实去向有哪些?

🎓博士毕业真实去向有哪些?

教育 2026-05-21 16:03

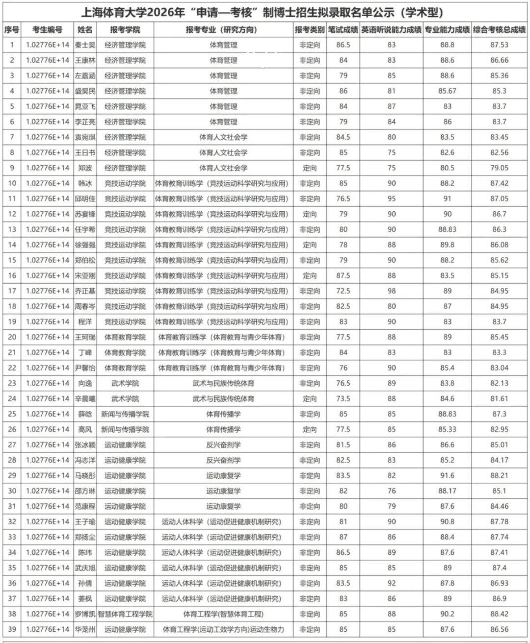
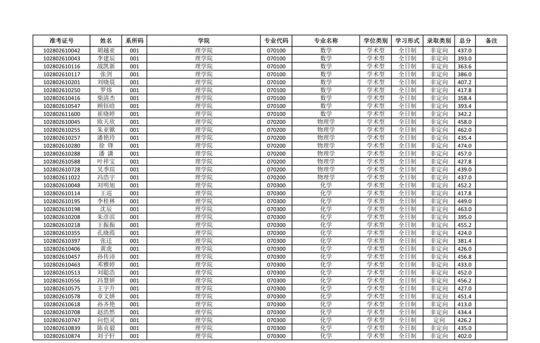
延边大学2026年博士研究生拟录取名单公示

延边大学2026年博士研究生拟录取名单公示

教育 2026-05-20 15:56

南京邮电大学2026年公开招聘工作人员公告

南京邮电大学2026年公开招聘工作人员公告

教育 2026-05-20 15:05

博士进高校当老师,每一条都是血泪教训

博士进高校当老师,每一条都是血泪教训

教育 2026-05-20 15:48

2026年高校思想政治工作骨干在职攻读博士学

2026年高校思想政治工作骨干在职攻读博士学

教育 2026-05-20 15:44

2026年高校思想政治工作骨干在职攻读博士学

2026年高校思想政治工作骨干在职攻读博士学

教育 2026-05-20 16:00

南京理工大学2026聘用博士教师

南京理工大学2026聘用博士教师

教育 2026-05-20 15:56

四川大学文学与新闻学院2026年博士研究生招

四川大学文学与新闻学院2026年博士研究生招

教育 2026-05-20 15:33

武汉大学2026年招收攻读博士第三批

武汉大学2026年招收攻读博士第三批

教育 2026-05-19 15:06

26考博还可以报考的高校!

26考博还可以报考的高校!

教育 2026-05-19 16:01

26考博还可以报名的985

26考博还可以报名的985

教育 2026-05-19 15:02

读博:一场与自己较劲的漫长修行

读博:一场与自己较劲的漫长修行

教育 2026-05-19 15:02

导师喜欢什么样的研究生?

导师喜欢什么样的研究生?

教育 2026-05-18 15:57

山东头部城市人才引进补贴政策

山东头部城市人才引进补贴政策

社会 2026-05-18 15:47

其实读研是在筛选有松弛感的人

其实读研是在筛选有松弛感的人

教育 2026-05-18 15:02

首都经济贸易大学2026年博士研究生拟录取名

首都经济贸易大学2026年博士研究生拟录取名

教育 2026-05-18 15:38

2026TOP中国大学排名重磅发布

2026TOP中国大学排名重磅发布

教育 2026-05-17 15:05
第一页 下一页
懂考博的小锦鲤

懂考博的小锦鲤

感谢大家的关注

热门分类

推荐 热榜 军事 NBA 体育 社会 明星八卦 娱乐 财经 科技 汽车 历史 国际 游戏 动漫 公益 搞笑 商业 互联网 数码 国际足球 房产 家居 时尚 科学探索 职场 育儿 股票 教育 影视 情感 热点 中国军情 武器 中国南海 中国足球 亚洲杯 科比 综合体育 CBA 投资 大咖秀 外汇 创业 风口 SUV 豪车 概念车 优惠 新能源 美国 欧洲 朝日韩 俄罗斯 孕期 街拍 婚姻 正能量

© CopyRight 2010-2026 老涛资讯网(www.laotaotie.com)

粤ICP备2023027345号 邮箱:181046773#qq.com

声明:部分文章摘自互联网,如有侵权,麻烦告知删除。