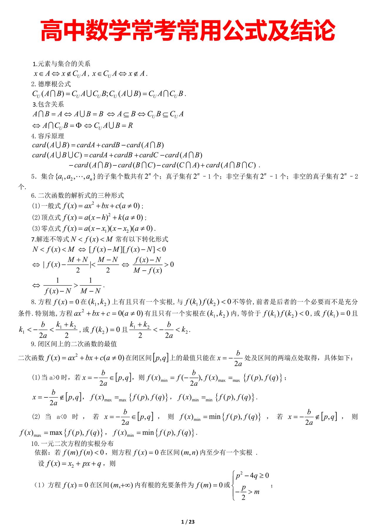
初中数学突然开窍,到底有多爽 以前总觉得初中数学是天书,公式背了就忘,题型换个包

奔跑的督察员 2026-04-28 11:13:21

初中数学突然开窍,到底有多爽 以前总觉得初中数学是天书,公式背了就忘,题型换个包装就完全看不懂。大题写半天步骤,得分寥寥无几,刷题刷到崩溃,越学越自卑,认定自己天生没有理科脑子。 真正开窍的瞬间,没有任何预兆。 不再死记硬背公式,能看懂题目背后的逻辑,一眼看穿出题人的套路。曾经绕半天的几何辅助线、函数题型,现在顺手就能找到突破口。 做题不再靠蒙和猜,选择题快速秒杀,中档大题稳稳拿分,就连以前害怕的综合题,也能分步拆解作答。 最直观的变化是心态,不再恐惧数学,反而越做越顺手。不用盲目刷海量习题,只抓核心考点和错题复盘,效率直接翻倍。 说白了,初中数学开窍,不是突然变聪明,而是跳出了死学的误区。 读懂底层逻辑,摸清答题规律,摆脱假努力,分数自然会稳步上涨。这种豁然开朗的通透感,只有经历过瓶颈的人才懂。初中数学突然开窍是种什么感觉?

0 阅读:5
奔跑的督察员

奔跑的督察员

感谢大家的关注