赵睿保送上海体育大学,朱俊龙保送上海交通大学,杨翰森保送中国海洋大学,吴前保送成

冠炫赏体育 2026-04-09 23:40:05

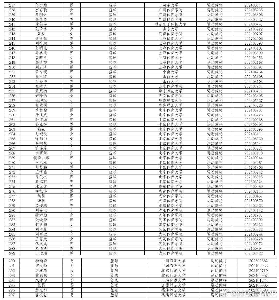
赵睿保送上海体育大学,朱俊龙保送上海交通大学,杨翰森保送中国海洋大学,吴前保送成都体育学院,李弘权保送上海交通大学,陈家政和王洪泽保送上海体育大学。 2026年优秀运动员本科保送拟推荐名单已由国家体育总局科教司于2026年4月8日公示,其中篮球运动员共有61人获得保送资格,部分拟推荐名单如下: 曾凡博 拟保送 北京科技大学 赵俊峰、袁振梁、尹椿文、崔新泉、冯洺臻、张知垚、张兴亮 等拟保送 北京体育大学 李弘权 拟保送 上海交通大学 陈家政、王洪泽、程望樊、赵睿 拟保送 上海体育大学 段立谦、段睿骐 拟保送 深圳大学 赵佳一 拟保送 沈阳体育学院 李佳恒、景浩扬、汤杰 拟保送 武汉体育学院 殷召航 拟保送 西安电子科技大学 黄译 拟保送 中山大学 何文炜 拟保送 清华大学 朱俊龙 拟保送 上海交通大学 张子宇 拟保送 山东大学 杨瀚森 拟保送 中国海洋大学 吴前 拟保送 成都体育学院 看来运动员只要你能打出名堂,最后国家都会给你一个好的文凭,就像邓亚萍退役后连英语26个字母都认不全,国家照样保送到清华大学,毕业后还到英国诺丁汉大学获得硕士,剑桥大学获得博士,所以现在的家长不必在高考这一个赛道上卷,在体育生这个赛道上一样有好的出路,像辽宁队王岚嵚就是清华大学毕业的。

0 阅读:26
冠炫赏体育

冠炫赏体育

感谢大家的关注