老涛资讯网
老医书是真不给你玩虚的🔥
南炫书店爱阅读
2026-03-10 18:58:43
超实用的中医学习用书,推荐给需要的朋友们!!
0
阅读:0
猜你喜欢
崔寒柏的“自然书写”方式对于大多书法爱好者来说是不合适的,因为他的自然书写是建立
书法
晋韵书法
2026-03-10
沈鹏先生写“错”字的牌匾,其实不是写错了,而是一个“连笔”,但是如果仔细追究的话
【1评论】
沈鹏
晋韵书法
2026-03-10
哇靠,瞬间对八段锦起了敬意。。。
【1点赞】
囤货种草Mark
2026-03-10
1912年,意大利商人伏尼契收购一家旧书店时,发现一本“奇怪的手稿”,一共260
【2点赞】
伏尼契
书店
枕猫
2026-03-09
科普冷知识
观事眼
2026-03-10
一有尿意就憋不住,当心肾气不固!中医1招,把“尿门”锁紧提示:本内容仅
【9点赞】
中医
补肾
陈医生中医科普
2026-03-10
南炫书店爱阅读
感谢大家的关注
作者最新文章
1
老医书是真不给你玩虚的🔥
2
以前的老医书真不给你玩虚的🔥
3
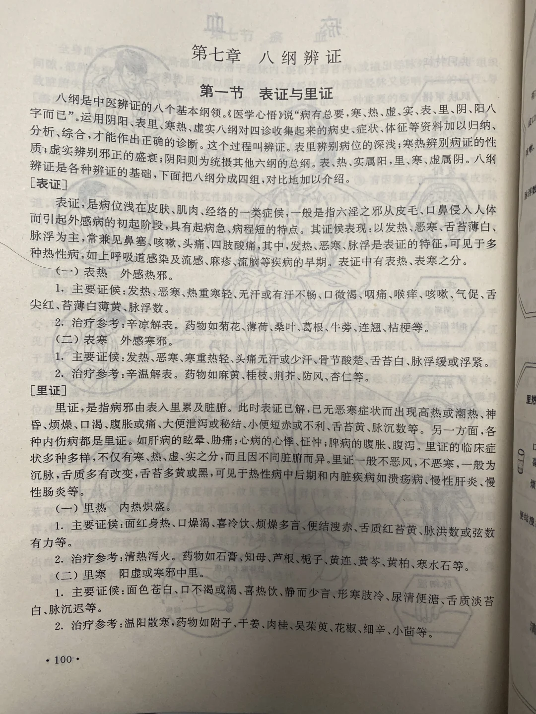
中医的“八纲辨证”原来这么好学👏
4
终于🈶书把五脏六腑的关系说清楚了‼️
5
不🉐不服,以前的老书是🈶真东西的‼️
6
不🉐不服以前的老书,太厉害了👏
7
中医的“津液病辨证”原来这么好学👏
8
以前的老书真不给你玩虚的🔥
9
不🉐不服,以前的老医书真教人东西👏
10
以前的老书真不玩虚的👏👏
热门分类
推荐
热榜
军事
NBA
体育
社会
明星八卦
娱乐
财经
科技
汽车
历史
国际
游戏
动漫
公益
搞笑
商业
互联网
数码
国际足球
房产
家居
时尚
科学探索
职场
育儿
股票
教育
影视
情感
热点
中国军情
武器
中国南海
中国足球
亚洲杯
科比
综合体育
CBA
投资
大咖秀
外汇
创业
风口
SUV
豪车
概念车
优惠
新能源
美国
欧洲
朝日韩
俄罗斯
孕期
街拍
婚姻
正能量
教育
TOP
1
以前的女大学生和当代的女大学生
2
表妹当班主任后一年的变化表妹当班主任后一年的变化
3
网上的大学宿舍和真实的大学宿舍,真的有这么夸张吗
4
学校有这样的语文老师,应该没有孩子会逃课了吧?[呲牙笑]
5
为啥现在大学生都喜欢这样穿呀,有人清楚不?
6
我自始至终都知道,我老公包养了两个大学生[笑着哭]一个是女大学生研三每个月给
7
这怕是中国就业率最高的专业了吧!
8
陈都灵大学那会,真是校花啊,这素颜把好多人都比下去了
9
家庭存款的十个等级:10万压力山大,20万小打小闹,30万稍感轻松,5
10
一位是腰缠万贯的董事长,一位是懵懵懂懂的女大学生。
教育
最新文章
1
2009年,一位四川考生的高考作文因为字迹无法辨认,特地请来了专家,经过鉴定,确
2
“国家的一大损失!”2000年,山东有一神童,短短的2天便念完小学,10岁那年参
3
一句“呦西”,让南宁某校长的家长会演讲彻底炸了!视频里,他正激情澎湃地讲着家
4
又一个教育界的败类暴露了,而且还是“自爆”的!6日,广西南宁某学校张校长在家
5
《家有儿女》早就教过怎么处理校园霸凌的问题了
6
香港一学校毕业典礼上奏国歌,两名毕业生不仅不唱国歌,还一直坐着拒绝肃立,校长陈卓
7
是区,却没有大学
8
某地小学老师,这着装规范吗?
9
湖南,男生高考575分,父母一气之下将其扫地出门,并断了其生活来源,他想复读,母
10
过了春节上班第一天,公司开年会,秘书不在。老板随便喊了一名大学生员工,让他做会议