老涛资讯网
升级需知道的文章
如图所示,墙面与球面不光滑,当球禁止的时候,球受到哪些力?有没有受到摩擦力?
教育
2025-11-09 17:33
根据电路图,当开关闭合时,灯L1、L2、L3的发光情况是什么? 注意电路中的电源
教育
2025-11-09 15:33
车的保险马上到期了,大家有啥推荐的保险?有的在评论区说一声,感谢大家!
汽车
2025-11-09 11:33
该电路图中 当开关S3闭合、S4断开时,电流表A4测量的是什么什么电流? 当开关
教育
2025-11-09 00:33
在图中的电路中,已知电流表A的示数为1.5A,电流表A1的示数为0.8A,电流表
教育
2025-11-08 15:17
对于这道题,所有灯泡、电源、开关、导线都正常。大家觉得灯泡能正常亮吗?还是灯泡不
教育
2025-11-08 12:53
对于这道题,当开关S闭合时,大家觉得是哪一个灯泡不亮?还是三个灯泡都不亮?还是有
教育
2025-11-07 11:30
在头条购物窗口地址可以选到台湾省了!
2025-11-02 23:24
台湾光复日,意义重大!!!
2025-10-25 00:27
时间过得好快,还记得才毕业,如今已经上班7年了,带过两届完整的高三毕业班,第一届
教育
2025-09-25 14:15
贵州省2025年高考录取分数线出来了,下面来看看。 普通类 1.物理方向:本科录
教育
2025-09-25 14:15
2025年全国高考数学试卷真题(新课标全国I卷),看看你能做多少分。 2025高
教育
2025-09-25 14:16
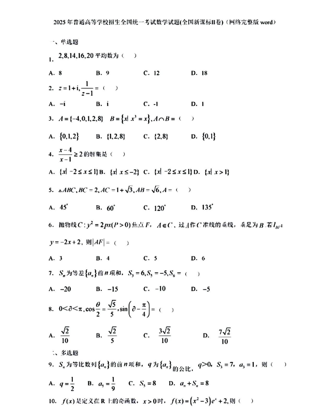
2025年高考数学真题卷(新课标全国II卷),赶紧来看看难度怎么样,你会做吗?
教育
2025-09-25 14:15
2025年天津卷高考语文作文,关于车轮话题。
教育
2025-09-25 14:15
2025年上海卷高考语文作文,关于文章“专”、“转”、“传”。
教育
2025-09-25 14:15
2025年北京卷高考语文作文,一两部分,第一部分是微写作10分,第二部分是写作5
教育
2025-09-25 14:16
2025年全国二卷高考语文作文,关于梦的话题。 2025高考
教育
2025-09-25 14:15
2025年全国一卷高考作文,老舍笔下开不了口的艺人、艾青笔下嘶哑歌唱的小鸟、穆旦
教育
2025-09-25 14:15
这个竞争真的太大了,招8000人,收到120份简历,所以现在找工作真的还是需要有
职场
2025-09-25 14:15
集卡领福袋和我一起参与集卡领福袋活动,瓜分十万元现金大奖,合成福袋最高得2025
2025-09-25 14:15
第一页
下一页
升级需知道
感谢大家的关注
热门分类
推荐
热榜
军事
NBA
体育
社会
明星八卦
娱乐
财经
科技
汽车
历史
国际
游戏
动漫
公益
搞笑
商业
互联网
数码
国际足球
房产
家居
时尚
科学探索
职场
育儿
股票
教育
影视
情感
热点
中国军情
武器
中国南海
中国足球
亚洲杯
科比
综合体育
CBA
投资
大咖秀
外汇
创业
风口
SUV
豪车
概念车
优惠
新能源
美国
欧洲
朝日韩
俄罗斯
孕期
街拍
婚姻
正能量