D社还是没有打算放过这个Wkorea
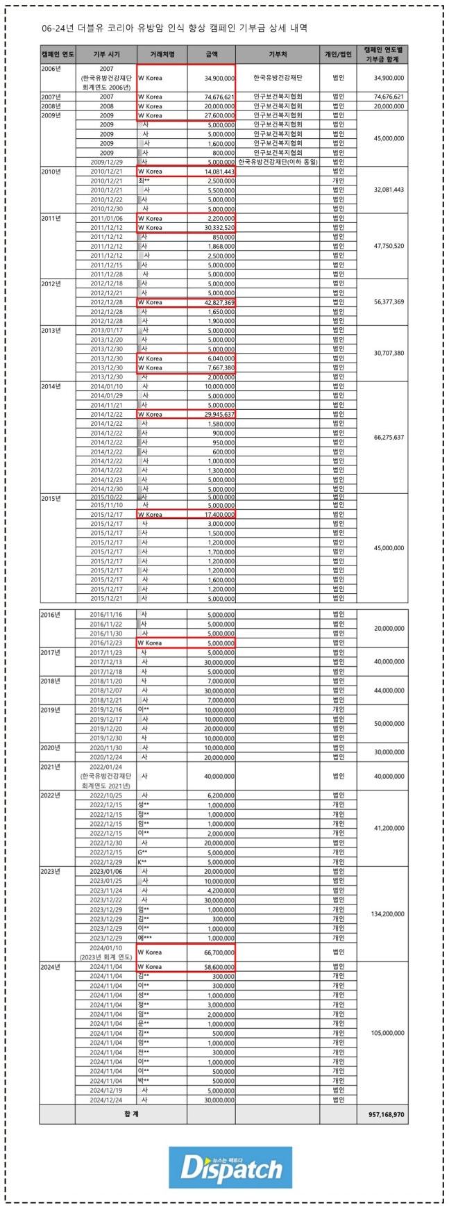
【热帖】[独家] 所谓11亿捐款的小伎俩……W Korea捐款明细核查结果
重点聚焦在捐款数额不符还有是否使用了税收优惠。
W Korea所爱的究竟是什么呢?他们的派对无比华丽,但他们的辩解却无比苍白。
D社还是没有打算放过这个Wkorea
【热帖】[独家] 所谓11亿捐款的小伎俩……W Korea捐款明细核查结果
重点聚焦在捐款数额不符还有是否使用了税收优惠。
W Korea所爱的究竟是什么呢?他们的派对无比华丽,但他们的辩解却无比苍白。
作者最新文章
热门分类
娱乐TOP
娱乐最新文章