老涛资讯网
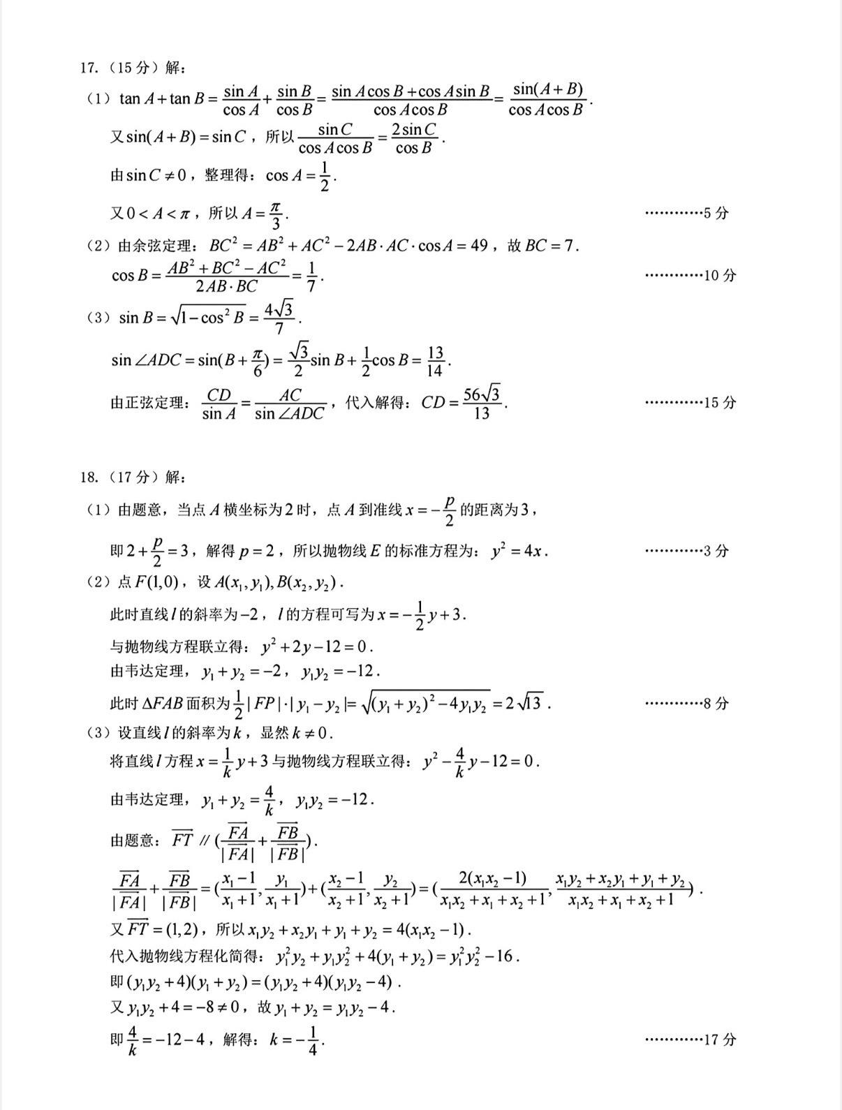
武汉市2026届高三九月调考数学试题及答案,试题结构回到传统模式,难度较大!
数学一施
2025-09-19 00:36:48
0
阅读:0
数学一施
感谢大家的关注
作者最新文章
1
2025年高考数学1卷考生回忆编辑版(难免有编辑错误),缺第6题
2
2025年全国二卷数学手写版
3
下午结束的安徽省江南十校高二5月联考数学试题及答案,第8题切线放缩、第...
4
合肥一中2025届高三最后一卷数学试题及答案,变态难是合肥一中最后一卷...
5
武汉市本届高三的3份调考卷第14题都是立体几何,九省联考第19题也是立...
6
湖北省2025届高三4月调考数学试题及答案,应该除武汉市外其他地区都参...
7
25版每日一题,以第8、11、14题为主,选自高考真题和高质量模拟题
8
嘉兴市2025届高三九月基测数学试题及答案,很不错的试卷,命题非常用心!
9
济南市2025届高三摸底考试数学试题及答案,难度适中,比安徽那两套试卷质量要好!
10
安徽六校教育研究会2025届高三开学考数学试题及答案,难度过大!跟江淮...
热门分类
推荐
热榜
军事
NBA
体育
社会
明星八卦
娱乐
财经
科技
汽车
历史
国际
游戏
动漫
公益
搞笑
商业
互联网
数码
国际足球
房产
家居
时尚
科学探索
职场
育儿
股票
教育
影视
情感
热点
中国军情
武器
中国南海
中国足球
亚洲杯
科比
综合体育
CBA
投资
大咖秀
外汇
创业
风口
SUV
豪车
概念车
优惠
新能源
美国
欧洲
朝日韩
俄罗斯
孕期
街拍
婚姻
正能量
教育
TOP
1
校园抓拍,初中学妹
2
这几个小朋友全网刷屏了!篮球场上一次小小的表演失误,几个小朋友临危不乱的救场,
3
好奇不?公务员的另一半是干啥的?
4
现在的女大学生这么讲究的吗?
5
来了新理发师之前间隔15天理发,现在5天就得理一次发
6
当初中同学突然加你
7
现在的女大学生这么讲究的吗?
8
为啥现在大学生都喜欢这样穿呀,有人清楚不?
9
广东省教育厅今天刚刚发布:华南理工大学,暨南大学,华南农业大学,南方医科大学,华
10
12岁小学生家中服药自杀,妈妈把责任归于英语作业,二审即将开庭。这则新闻令人心
教育
最新文章
1
觉得民办本科学费贵?那是因为你没算清楚这笔账!公办大学一年学费5000元,民办一
2
高三10班期末成绩光荣榜,班级第一名郭卓曦总分580分在年级15个班排第一名,与
3
校园抓拍,初中学妹
4
中国高中清北录取人数前20强学校,看了数据,湖南有四所学校上榜。分别是长郡中学7
5
一天易中天在厦大上课时,一名女生突然站起来冲他大喊:“易老师,我想嫁给你!”易
6
高校毕业生薪酬排行榜曝光,2025最新高校毕业生薪酬榜来了!清华登顶,2024
7
1996年,公费留学的黄大年加入英国籍,父母强烈反对,他说:就算骂我,我也要加入
8
为什么发现毒教材,不立即停止使用呢?不彻底,要彻底清理门户才行!知道教材出问题
9
五年级培优题火了!原来“转一转”就能破局这道刷爆家长群的五年级培优题,难住
10
1999年,28岁北大才女田晓菲嫁给自己的美国导师,父母气的咬牙切齿,但田晓菲却